روند ارسال سفارش ها به شکل عادی انجام میشود. پرسش یا درخواستی دارید از طریق پشتیبانی آنلاین پیام ارسال کنید.تماس اضطراری:09902375954

پرستاری بهداشت مادر و کودک 2017 | Maternal and Child Health Nursing 8th Edition

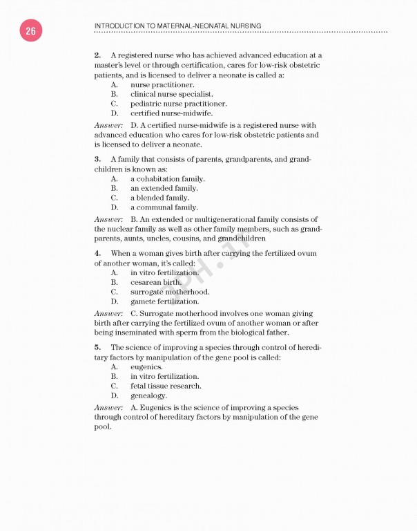
نویسنده:
ویراست:
هشتم/2017

بررسی کوتاه:

  • 1 دوجلدی، چاپ صورت لیزری با تضمین کیفیت چاپ و صحافی
  • 2  شامل مباحث پرستاری مراقبت از خانواده باروری و فرزندآوری
  • %15
    12,900,000
    11,000,000 تومان برای شما
    سود شما از این خرید: 1,900,000 تومان
    موجود است
    ارسال به سراسر ایران
    گارانتی تعویض کالای معیوب
    مرور کتاب

    مروری در مورد این کتاب

    کتاب Maternal and Child Health Nursing 2018 | پرستاری بهداشت مادر و کودک ویرایش هشتم ، مرجع معتبری که در حال تغییر محیط مراقبت‌های بهداشتی امروز است ، پرستاری سلامت مادر و کودک ، مراقبت های بهداشتی مادر و نوزاد و کودک را نه به عنوان دو رشته مجزا ، بلکه به عنوان یک تداوم دانش ارائه می‌دهد. با استفاده از چارچوب فرآیند پرستاری ، این متن اثبات شده از رویکردی روشن، قابل فهم و طیف وسیعی از وسایل کمک آموزشی یادگیری استفاده می کند تا به شما در تسلط بر مفاهیم و مهارت‌های اساسی برای موفقیت در این زمینه دائماً در حال تغییر و فزاینده اهمیت دهد.


    Maternal and Child Health Nursing: Care of the Childbearing and Childrearing Family

    Confidently prepare for the challenges of modern maternal-newborn and child health care nursing.

    A respected authority revised for today’s changing health care environment, Maternal & Child Health Nursing, 8th Edition presents maternal-newborn and child health care not as two separate disciplines, but as a continuum of knowledge. Using a nursing process framework, this proven text applies a clear, easy-to-understand approach and wide range of built-in learning aids to help

    you master essential concepts and skills for success in this ever-changing and increasingly important field.

    • شابک 9781496348135
    • ویراست هشتم/2017
    • قطع رحلی
    • نوع جلد شومیز (جلد نرم)
    • تعداد صفحات 1744
    • وزن 3700 گرم
    • مشخصات نویسنده/مترجم
      Dr. Adele Pillitteri PNP نویسنده مشاهده بیشتر
    • کیفیت چاپ تمام رنگی
    فهرستی وارد نشده است میتوانید از مشاهده داخل کتاب استفاده کنید
    اولین نفری باشید که درباره ی این محصول نظر میدهید. ثبت نظر
    در حال بارگزاری...
    پرسش و پاسخ درباره این محصول شما میتوانید سوالات خودتان را درباره این محصول اینجا مطرح کنید. ثبت پرسش
    در حال بارگزاری...
    در حال بارگزاری